#39303: 只要一行,兩個數字都可以公式解 !


wangjay0401@gmail.com (stpuienius)


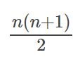
f(n)的公式應該不難推導,就是等差級數的公式

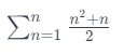
第二個函數g()有一個小細節

g(1) = f(1)

所以可以發現

g(n) = f(1) + f(2) + f(3) + .... + f(n)

化簡後

                                                                                                                                             by   stupienius