#41006: 思路?


1120188@ccjh.cyc.edu.tw (詹以恩)


我的想法是

當L=14時
若排成正方形時,14/4=3.5,但整數除法的結果是3
若length=3,則周長會減少0.5+0.5=1,那width=3.5+0.5=(周長的一半-length)=(14/2)-3=4
大概是

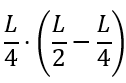
可得最大面積(除法捨去小數點)==

#41007: Re: 思路?


1120188@ccjh.cyc.edu.tw (詹以恩)


我的想法是

當L=14時
若排成正方形時,14/4=3.5,但整數除法的結果是3
若length=3,則周長會減少0.5+0.5+0.5+0.5=2,那width=3.5+0.5=(周長的一半-length)=(14/2)-3=4
大概是

可得最大面積(除法捨去小數點)==

fixed