#44532: 簡單說明題目提到的 UVa 498 在幹嘛


sam851015@gmail.com (多挖鼻孔有益身心健康)


提醒: 這不是解題報告

 

題目連結:點我 

UVa 498 大意是要寫一個程式,計算任意一元多次方程式的解

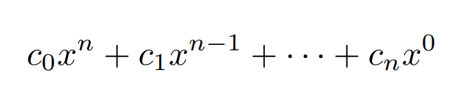
該一元多次方程式會長這樣,用降冪排序:

C_{n} 代表的是該多項式的係數

n 代表的是該多項式最高為幾次方

 

輸入說明:

題目包含多筆測資,每筆測資有兩行。

第一行有任意數量的整數 C (C_{0}, C_{1}, C_{2}, C_{3}......C_{n}) ,代表該多項式的係數,每個數字用空格隔開。

第二行有任意數量的整數 x ,代表多項式的 x 要代進去的值,每個數字用空格隔開。

 

輸出說明:

每組測資要將答案輸出成一行,每個答案用空格隔開。

 

範例輸入:

-2
5 0 1 6
1 -1
7 6 -1

 

範例輸出:

-2 -2 -2 -2
6 5 -2

 

到這題變成解下面這個多項式

 

我覺得題目作者說他沒解出來是唬人的,個人覺得 UVa 498 簡單多了